Linienform und Linienbreite

Ein einzelnes Atom oder Molekül emittiert das Licht völlig statistisch, doch nimmt die Zahl der noch nicht emittierten Teilchen (also die Anzahl im angeregten Zustand) exponentiell mit der Zeit ab. Wir erhalten daher auch für die Amplitude E(t) der Lichtquelle in komplexer Schreibweise:

wobei wo = (Em − En)/h ist, also Differenz der Energien von Anfangs- und Endzustand.
 

Für t = 0 findet die Anregung statt; für t > 0 wird beobachtet. Die Lichtwelle wird nun mit einem hypothetischen Spektralapparat analysiert, d.h. es wird das Licht nach monochromatischen Wellen der Frequenz w zerlegt:

Die Amplitude E(t) läßt sich umgekehrt als Überlagerung solcher monochromatischen Wellen darstellen:

Dies ist die sogenannte Fourier-Transformation, die es erlaubt, zeitliche Größen durch monochromatiche Wellen der Frequenz w (mit der Amplitude a(w)) darzustellen. Die Koeffizienten a(w) sind gegeben durch:

Die Intensität des monochromatischen Lichtes erhalten wir durch Quadrierung:  |a(w)|². Für unsere exponentiell abnehmende Lichtamplitude E(t) ergibt die Auswertung des obigen Integrals:

Da wo+ w>> |wo-w| gilt, ist der zweite Term kleiner als der erste und kann vernachlässigt werden. Für die Intensitätsverteilung I(w) = |a(w)|² erhalten wir danach:

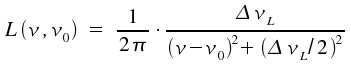
Eine solche Spektrallinie heißt Lorentzlinie. Um eine solche Linienform besser mit den experimentellen Meßwerten vergleichen zu können, ist es praktischer, den Frequenzverlauf durch

zu beschreiben, was natürlich auch eine Lorentzlinie ist, da sich die Form der Gleichung nicht geändert hat, nur ist jetzt DnL die Breite der Linie bei halber Höhe und das Integral über alle Frequenzen ν ist 1:

Die Linienbreite DnL heißt auch natürliche Linienbreite und ist durch die Zerfallszeit τ (man spricht von der natürlichen Lebensdauer) gegeben:

Typische Zahlenwerte eines einzelnen ungestörten Moleküls liegen für Übergänge im sichtbaren Spektralbereich bei (1...10) MHz.
Abb. 1: Durch die Bewegung der Teilchen relativ zum einfallenden Lichtstrahl verschiebt sich die Frequenz, bei der sie Licht absorbieren können. [a), b), c)]. Bei einem Ensemble von Molekülen muß über die Beiträge der einzelnen Moleküle (z.B. der von Boltzmann beschriebenen thermischen Geschwindigkeitsverteilung) summiert werden.

Die Teilchen können jedoch untereinander stoßen und damit ihre Energie leicht stören. Dies führt zu einer Verbreiterung der Linie (Stoßverbreiterung), die als homogene Linienbreite bezeichnet wird. Unter atmosphärischen Bedingungen liegen die Stoßzeiten unterhalb einer Nanosekunde, was zu einer Breite von einigen Gigahertz führt. Noch extremere Bedingungen liegen in Flüssigkeiten vor: Hier liegen die Stoßzeiten unterhalb von einer Pikosekunde, so dass die Breite eines einzelnen Überganges im Terrahertzbereich liegt, was bei 300 nm schon einer Breite von wenigen Nanometern entspricht.

Eine inhomogene Linienbreite liegt vor, wenn die einzelnen Atome durch zusätzliche physikalische Bedingungen unterscheidbar werden, z.B. Einbau von Atomen im Festkörper an etwas unterschiedlichen Gitterplätzen mit leicht unterschiedlicher Energie.

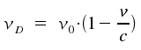
Aber auch in Gasen ist eine Unterscheidung möglich denn die einzelnen Teilchen haben eine bestimmte Geschwindigkeit v. Dadurch absorbiert ein solches Teilchen Licht bei einer etwas verschobenen Frequenz

v ist die Geschwindigkeitskomponente in Richtung des einfallenden Lichtes (Siehe Abb. 1 a-c). Die Absorption erfolgt bei einer höheren Frequenz, wenn das Teilchen mit dem Lichtstrahl "fliegt" (Abb. 1 b). Aus der Frequenzverschiebung kann daher prinzipiell die Geschwindigkeit der Atome oder Moleküle bestimmt werden (z.B. Geschwindigkeit von interstellaren Gasen der Galaxien, aber auch von Produkten von chemischen Reaktionen).

Diese Dopplerverschiebung soll nun für ein thermisches Gas (im Gleichgewicht) untersucht werden: Nach Maxwell und Boltzmann erhalten wir für die relative Anzahl von Atomen, die eine Geschwindigkeitskomponente v in Richtung des Lichtstrahls haben (Herleitung):

(m = Teilchenmasse). Mit v = c. (νo-nD)/νo erhalten wir für die frequenzabhängige Intensität I:

Dies ist ein typisches Gaußprofil. Da die Breite der Linien durch den Dopplereffekt hervorgerufen wurden, spricht man vom Dopplerprofil. Führen wir auch hier die volle Linienbreite bei halber Höhe der Maximalintensität DnD ein und sorgen dafür, dass das Integral über alle Frequenzen ν gleich der integralen Intensität Io ist:  ò+∞ I(ν,νo) dν  =  Io, dann gilt:

mit

Diese sogenannte Dopplerbreite DnD ist also proportional zur Frequenz des Übergangs, νo. Übergänge im sichtbaren oder nahen UV haben Breiten von ~ 1 GHz (T = 300 K). Wasserstoffatome weisen wegen der kleinen Masse die ungewöhnlich große Breite von 30 GHz auf. Im sichtbaren Spektralbereich ist DnD>>DnL und die Profile werden durch die obige Gaußkurve beschrieben, da "Verschmierungen" durch die Lorentzlinien der einzelnen Atome nicht ins Gewicht fallen. Umgekehrt ist für DnL>>DnD (z.B. bei Mikrowellenübergängen oder bei einer extremen Stoßverbreiterung) die spektrale Verteilung eines Überganges durch ein Lorentzprofil beschrieben.

Abb. 2: Vergleich der Linienformen von einem Lorentz- und einem Gaußprofil (Doppler) gleicher Breite. Die Fläche unter beiden Profilen ist auf 1 normiert.

Falls DnL und DnD von gleicher Größenordnung sind, dann ist die beobachtete Spektrallinie durch eine Faltung von einem Gaußprofil mit einem Lorentzprofil gegeben:

Das sich daraus ergebene Profil wird Voigtprofil genannt. Eine geschlossene Lösung des Integrals ist nicht möglich, sondern muss für jede DnD, DnL Kombination numerisch durchgeführt werden.

Es gibt dank der Laser mittlerweile Techniken, die von Verbreiterungen durch Dopplerbewegungen nicht beeinflußt werden, so dass Übergänge und damit Molekülstrukturen äußerst exakt vermessen werden können.








Auf diesem Webangebot gilt die Datenschutzerklärung der TU Braunschweig mit Ausnahme der Abschnitte VI, VII und VIII.